Yash10109410 ®   29-Aug-2023 05:56

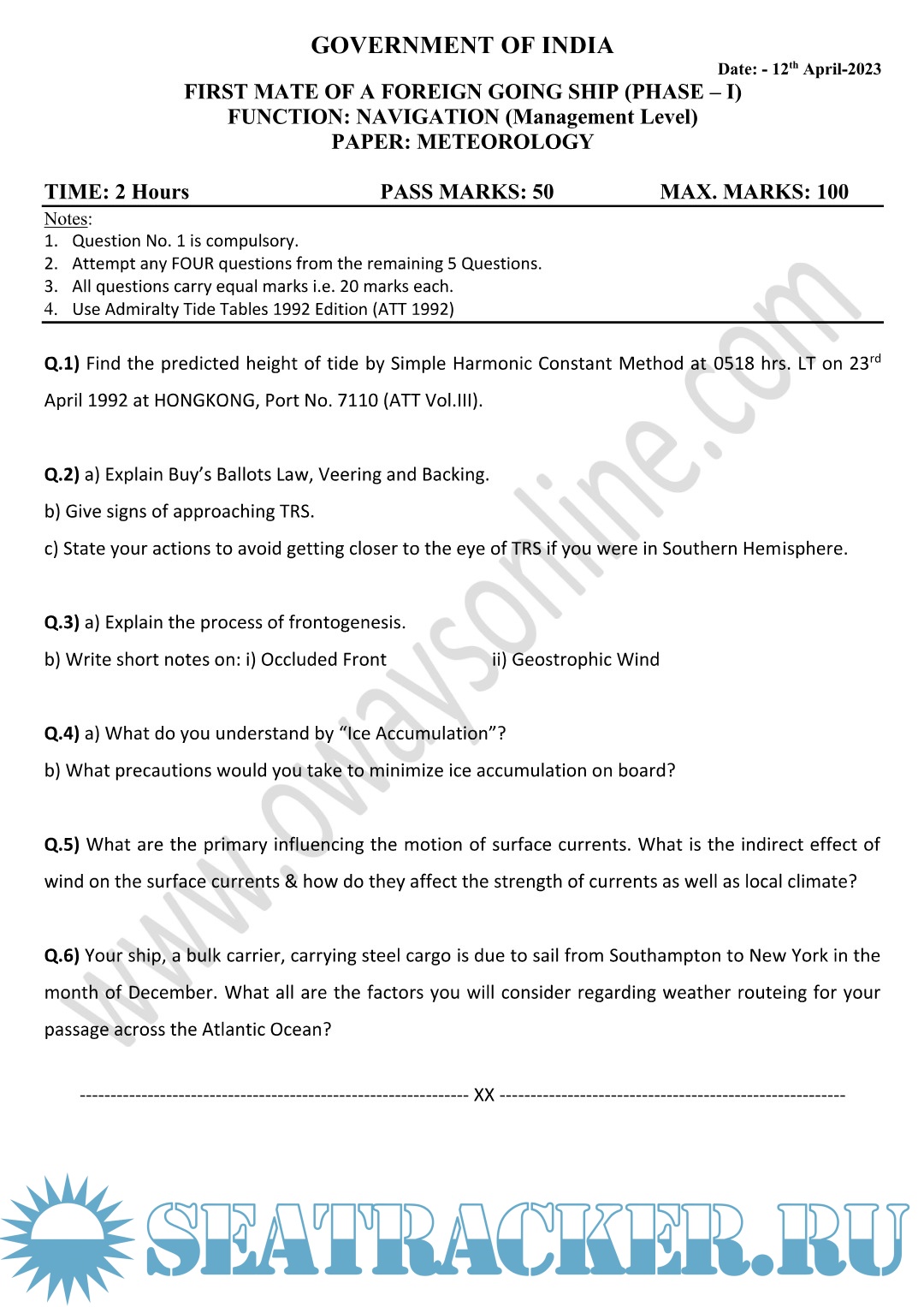
Meteorology MMD Question Paper


Year: 2023
Language: english
Author: Yash
Genre: Other
Publisher: Oways Shah
Format: PDF
Quality: Scanned pages + text layer
Pages count: 50
Description: MMD Question Paper Till April 2023

Contents

Screenshots

Meteorology.pdf

Download [15 KB]

Thank U
Reply
refresh list

Similar releases

TCN MMD Question Paper - Yash [2023, PDF]
Safety MMD Question Paper - Yash [2023, PDF]
Cargo MMD Question Paper - Yash [2023, PDF]
Stability MMD Question Paper - Yash [2023, PDF]
Question Paper Set (April 2023) for Phase I (Chief Mate F.G.) Mercantile Marine Department (MMD),…
Question Paper Set (May 2023) Phase II (Chief Mate F.G.) Mercantile Marine Department (MMD), India…
Question Paper Set (November 2023) Phase II (Chief Mate F.G.) Mercantile Marine Department (MMD),…
MEK Question Bank Till Jan 2024 - Yash [2024, PDF]
Maritime Law Question Bank Till Jan 2024 - Yash [2024, PDF]
Stability 2 Question Bank Till Jan 2024 - Yash [2024, PDF]
LOAD MORE
  • Reply

The time now is: Today 22:40

All times are GMT + 3 Hours