sugarspicesatya ®   03-Aug-2024 09:09

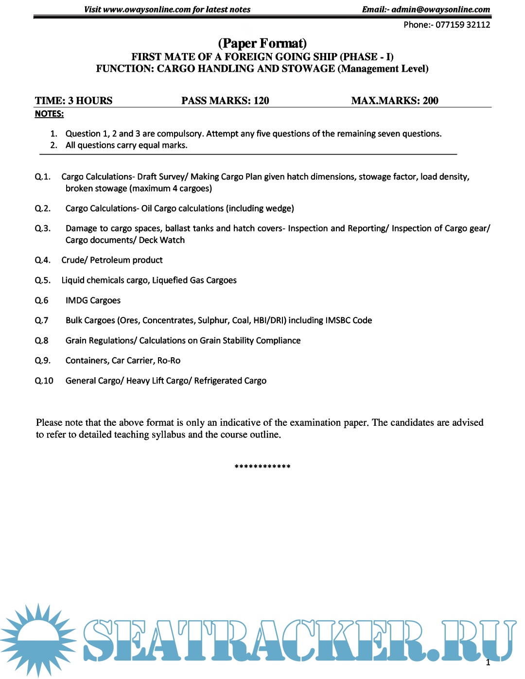
Question Paper Set (July 2024) for Phase I (Chief Mate F.G.) Mercantile Marine Department (MMD), India Examinations


Year: 2024
Language: English
Author: Oways Online
Format: PDF
Quality: Scanned pages
Pages count: 402
Description: Question Paper Set for Phase I (Chief Mate F.G.) Mercantile Marine Department (MMD), India Examination

Contents

2012-2024

Screenshots

Hidden

Download [13 KB]

Thank U
Reply
rajyad   05-Aug-2024 00:32
Is it possib;e for spmeone to upload this file,,,without download limits ????
Thanks in advance
0
Reply
refresh list

Similar releases

Question Paper Set (January 2024) for Phase I (Chief Mate F.G.) Mercantile Marine Department (MMD),…
Question Paper Set (May 2024) Phase II (Chief Mate F.G.) Mercantile Marine Department (MMD), India…
Question Paper Set (April 2023) for Phase I (Chief Mate F.G.) Mercantile Marine Department (MMD),…
Question Paper Set (February 2024) Phase II (Chief Mate F.G.) Mercantile Marine Department (MMD),…
Question Paper Set (November 2023) Phase II (Chief Mate F.G.) Mercantile Marine Department (MMD),…
Question Paper Set (April 2024) for Phase I (Chief Mate F.G.) Mercantile Marine Department (MMD),…
Question Paper Set (October 2023) for Phase I (Chief Mate F.G.) Mercantile Marine Department (MMD),…
Question Paper Set (May 2023) Phase II (Chief Mate F.G.) Mercantile Marine Department (MMD), India…
Engineering Knowledge Solved Theory and Numericals Solved (August 2019 only) from Past Question…
Question Paper Set (July 2023) for Phase I (Chief Mate F.G.) Mercantile Marine Department (MMD),…
LOAD MORE
  • Topic closed

The time now is: Today 21:09

All times are GMT + 3 Hours