gillnumil ®   21-May-2023 16:46

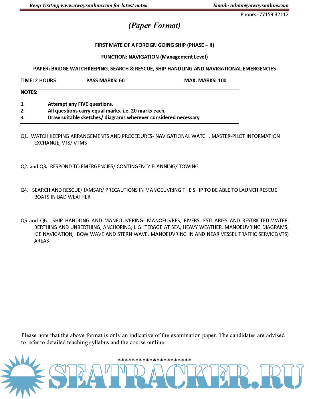
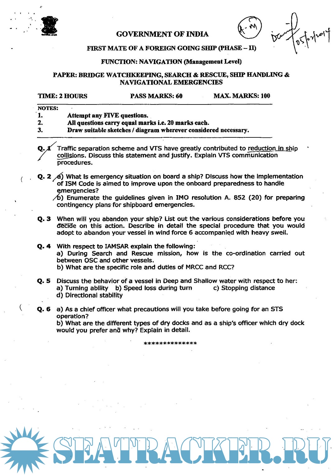
Question Paper Set (May 2023) Phase II (Chief Mate F.G.) Mercantile Marine Department (MMD), India Examinations


Year: 2023
Language: english
Author: D.G. Shipping, India
Publisher: Oways Online
Format: PDF
Quality: eBook
Pages count: 290
Description: Question paper set for Mercantile Marine Department (MMD), India Exams for Phase II - Chief Mate (F.G.).
Additional info: Updated till May 2023.

Contents

N/A

Screenshots

Hidden

Download [16 KB]

Thank U
Reply
sugarspicesatya   09-Jun-2023 00:33
Please make it available to download.
0
Reply
sugarspicesatya   09-Jun-2023 12:41
skipper3362, I totally agree with you but I am not aware of the forum much. And obviously individual only comes when they are in need of it. It's totally choice of the uploaded to make it private, do let us know in detail how we can support the uploaded of content. Cheers
0
Reply
sugarspicesatya   09-Jun-2023 12:43
sugarspicesatya, I am well aware of the seeder thing. But anything which I require it's already has been uploaded from your or some other account. If you want to do duplicate upload, I don't mind.
Please let me know in case there is some other way to support this form.
Regards
0
Reply
refresh list

Similar releases

Question Paper Set (November 2023) Phase II (Chief Mate F.G.) Mercantile Marine Department (MMD),…
Question Paper Set (April 2023) for Phase I (Chief Mate F.G.) Mercantile Marine Department (MMD),…
Question Paper Set (February 2024) Phase II (Chief Mate F.G.) Mercantile Marine Department (MMD),…
Question Paper Set (October 2023) for Phase I (Chief Mate F.G.) Mercantile Marine Department (MMD),…
Question Paper Set (May 2024) Phase II (Chief Mate F.G.) Mercantile Marine Department (MMD), India…
Question Paper Set for Maritime Legislation (November) Phase II (Chief Mate F.G.) Mercantile Marine…
Question Paper Set (July 2023) for Phase I (Chief Mate F.G.) Mercantile Marine Department (MMD),…
Question Paper Set for Naval Architecture I (July 2022) for Phase I (Chief Mate F.G.) Mercantile…
Question Paper Set for Naval Architecture I (August 2022) for Phase I (Chief Mate F.G.) Mercantile…
Question Paper Set for Cargo Handling and Stowage (July 2022) for Phase I (Chief Mate F.G.)…
LOAD MORE
  • Topic closed

The time now is: Today 23:54

All times are GMT + 3 Hours