gillnumil ®   02-Apr-2024 06:06

Question Paper Set for (ASM) Advanced Shipboard Management (March 2024) for Master's Examinations, Mercantile Marine Department (MMD), India


Year: 2024
Language: English
Author: D.G. Shipping, India
Publisher: Oways Online
Format: PDF
Quality: eBook
Pages count: 106
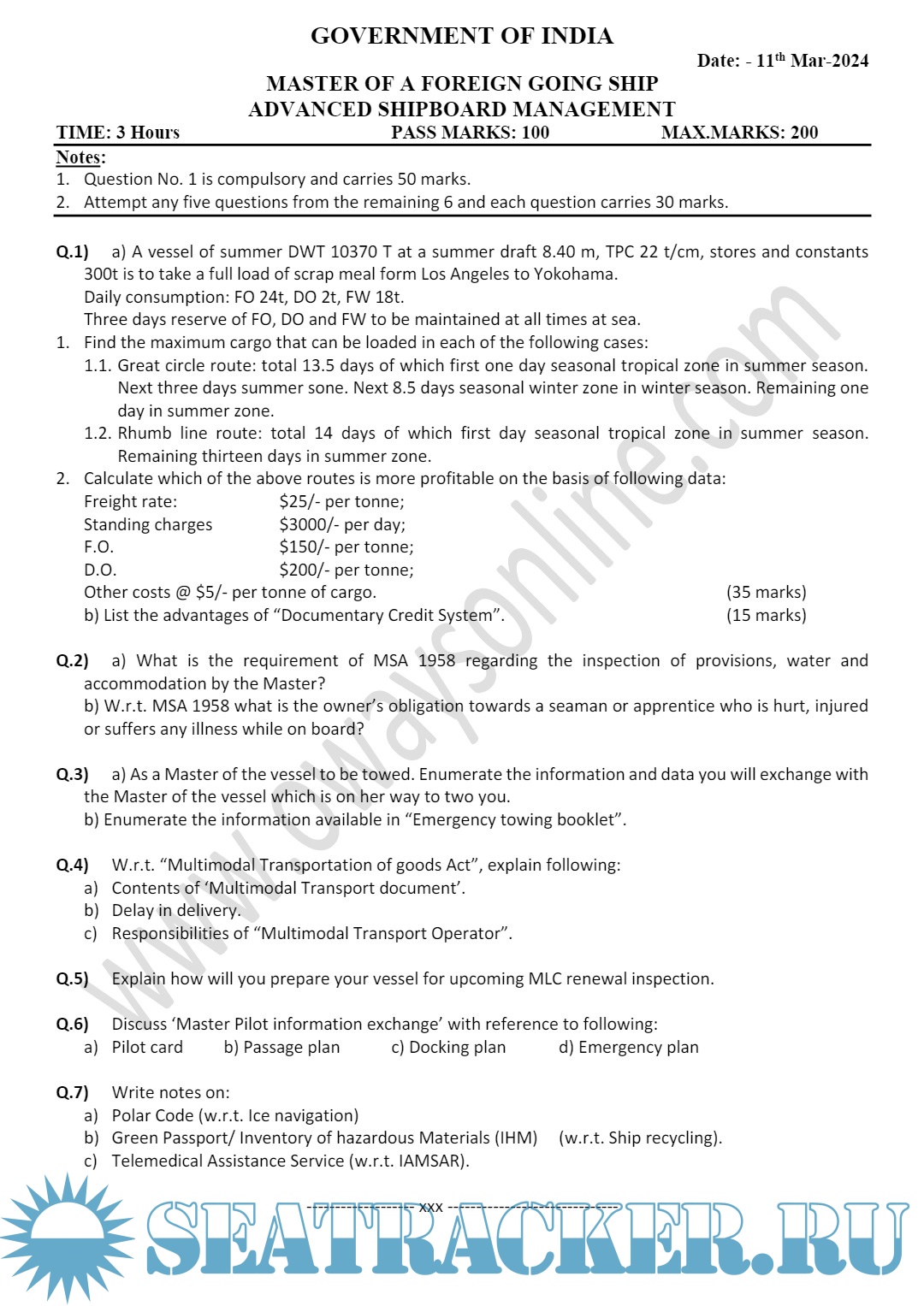
Description: Paper: ASM - Advanced Shipboard ManagementMaster's examinations
Question paper sets for Mercantile Marine Department (MMD), India.

Contents

2012-2024

Screenshots

Hidden

Download [15 KB]

Thank U
Reply
refresh list

Similar releases

Question Paper Set for (ASM) Advanced Shipboard Management (July 2024) for Master's…
Question Paper Set for (ASM) Advanced Shipboard Management (May 2024) for Master's…
Question Paper Set for (ASM) Advanced Shipboard Management (January 2024) for Master's…
Question Paper Set for (ASM) Advanced Shipboard Management (September 2025) for Master's…
Question Paper Set for (ASM) Advanced Shipboard Management (July 2023) for Master's…
Orals Question Bank (March 2024) for ASM (Advanced Shipboard Management) / Master's Mercantile…
Question Paper Set for (ASM) Advanced Shipboard Management (March 2023) for Master's…
Question Paper Set for (ASM) Advanced Shipboard Management (May 2023) for Master's…
Orals Question Bank (June 2024) for ASM (Advanced Shipboard Management) / Master's Mercantile…
Orals Question Bank (July 2024) for ASM (Advanced Shipboard Management) / Master's Mercantile…
LOAD MORE
  • Topic closed

The time now is: Today 21:50

All times are GMT + 3 Hours