gillnumil ®   31-Jul-2023 05:54

Question Paper Set for (ASM) Advanced Shipboard Management (July 2023) for Master's Examinations, Mercantile Marine Department (MMD), India


Year: 2023
Language: english
Author: Oways Online
Format: PDF
Quality: eBook
Pages count: 102
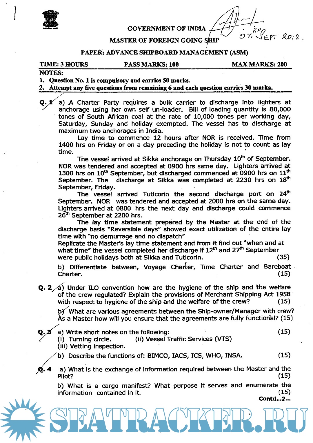
Description: Paper: ASM - Advanced Shipboard Management
Master's examinations Question paper sets for Mercantile Marine Department (MMD), India.

Contents

N/A

Screenshots

Hidden

Download [15 KB]

Thank U
Reply
refresh list

Similar releases

Question Paper Set for (ASM) Advanced Shipboard Management (July 2024) for Master's…
Question Paper Set for (ASM) Advanced Shipboard Management (May 2024) for Master's…
Question Paper Set for (ASM) Advanced Shipboard Management (May 2023) for Master's…
Question Paper Set for (ASM) Advanced Shipboard Management (January 2024) for Master's…
Question Paper Set for (ASM) Advanced Shipboard Management (March 2024) for Master's…
Orals Question Bank (July 2023) for ASM (Advanced Shipboard Management) / Master's Mercantile…
Orals Question Bank (July 2024) for ASM (Advanced Shipboard Management) / Master's Mercantile…
Orals Question Bank (June 2023) for ASM (Advanced Shipboard Management) / Master's Mercantile…
Orals Question Bank (October 2023) for ASM (Advanced Shipboard Management) / Master's…
Orals Question Bank (November 2023) for ASM (Advanced Shipboard Management) / Master's…
LOAD MORE
  • Topic closed

The time now is: Today 20:38

All times are GMT + 3 Hours