twicer ®   06-Nov-2025 11:02

PortToPort Desktop | Marine Distance Tables


Year: 2026
Version: 6.1.26.0
Developer: CherSoft Ltd
Platform: Windows
64-bit OS compatibility: yes
System Requirements: Windows any Version
Localization: English
Crack: Included (readme.txt for details)
Description: "PortToPort Desktop" - the desktop version can be installed on a Windows PC and provides offline access to the AtoBviaC Marine Distance Tables.
PortToPort Desktop is part of the AtoBviaC distance calculations software range. This desktop application does not need the internet, making it ideal to be used on ships at sea. It gives access to the AtoBviaC Marine Distance Tables via Windows PCs, making sure the marine distances and route calculations produced are accurate and realistic. The Distance Tables used are automatically updated to use the latest version of the Distance Tables whenever a new release is made, ensuring that subscribers always have access to current distance data.
Accurate distances, the ability to create multi-leg voyages using over 3300 'distance table' ports with full control over routing between ports.
Tables updated to Admiralty Notices to Mariners 2026 Week 11 | Distance Tables Date: Wednesday, 25-03-2026
:

Notable areas of Change

Port approaches reviewed
Minor changes have been made to approaches to the following ports, prompted by review or due to the release of updated charts or other information in Notices to Mariners; distances to/from these ports may have changed
Algeciras
Astoria
Bacalod
Baubau
Caldera
Chacabuco
Cherry Point
Chiba
Davao
Es Sider
General Santos
Kali Limenes
Luanda
Malaysia Waters
Midway Island
Mindanao
Mocamedes
Nador
Pelabuhan Wayame
Portland
Prince Rupert
Sevastopol
Shimizu
Sriracha
Tangiers
Varna
Villanueva
Other sea areas reviewed
Minor changes have been made to the route network in the following sea areas, either prompted by review or due to the release of updated charts or other information in Notices to Mariners; distances for routes transiting these areas may have changed by a small amount:
Algeria
Croatia
East Coast of the USA
English Channel
Indian Ocean
Mediterranean
North Sea
Norwegian Sea
South China Sea
Waters off Denmark

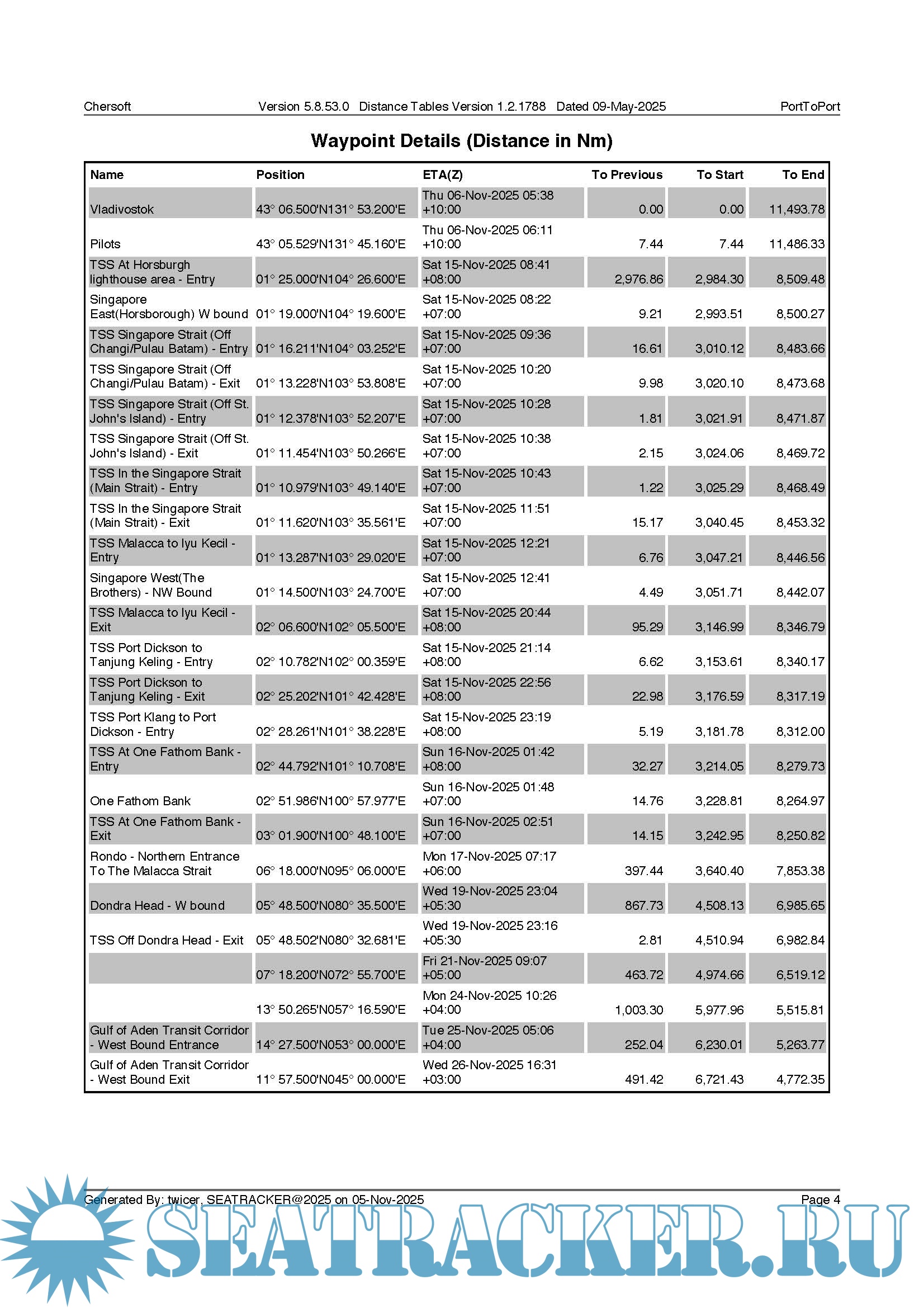
Screenshots

PortToPort Desktop_6.1.26.0

Download [18 KB]

Thank U
Reply
crossejl03161988   29-Dec-2025 19:36
Good day Mates, Thanks for the software, I just wanted to ask what to do after the installation because this does not seemed to have a crack? TYIA
1
Reply
twicer ®   11-Apr-2026 01:21
the torrent has now been updated upto the latest program's version. pls re-download.
0
Reply
refresh list

Similar releases

ADMIRALTY Digital Catalogue (ADC) v.1.8.8 - UKHO [2026]
EIVA NaviEdit v.9.2.0 - EIVA [2026]
MarineTraffic Mod Apk Latest Update v.3.9.56 - Marine Traffic [2020] [Android]
Q6110 - Maritime Security Chart - Mediterranean Sea - UKHO [2021, PDF]
Passage Manager 6.0 + MetManager 7.0 - ChartCo [2016]
Tide Tables 2020 - West Coast of North and South America, Including the Hawaiian Islands - NOAA…
Reeds Marine Distance Tables - Compiled by: R.W. Caney & J.E. Reynolds, Revised by: Miranda…
EIVA NaviPac v.4.13.0 - EIVA [2026]
Brown's Nautical Almanac [2016, PDF]
Tide Tables 2020 - East Coast of North and South America including Greenland - NOAA [2020, PDF]
LOAD MORE
  • Reply

The time now is: Today 19:32

All times are GMT + 3 Hours