Ferreirolo ®   16-Mar-2020 13:15

Boskalis Fleet Management System


Year: 2018
Language: english
Author: Boskalis team
Genre: Documentation
Publisher: Boskalis
Format: PDF
Quality: eBook
Pages count: over 1000
Description: The scope of the subject project is to provide to the Boskalis Offshore Fleet Management a new and harmonised Fleet Management System (FMS). This FMS has been the product of preparation within 2015 and active compilation within 2016.
The purpose of this new FMS is to allow the vessels within BOFM to work with a uniform system that will allow consolidation of the various Safety Management Systems that have been available within the Offshore Energy Division.
This revision is released on 1st August 2016 and it includes 2 subsequent revisions which were completed in November 2016. It will be implemented ashore and onboard after:
- Providing sufficient training to the crew and shore personnel
- A roll out session onboard the vessel with ism/qhse support.
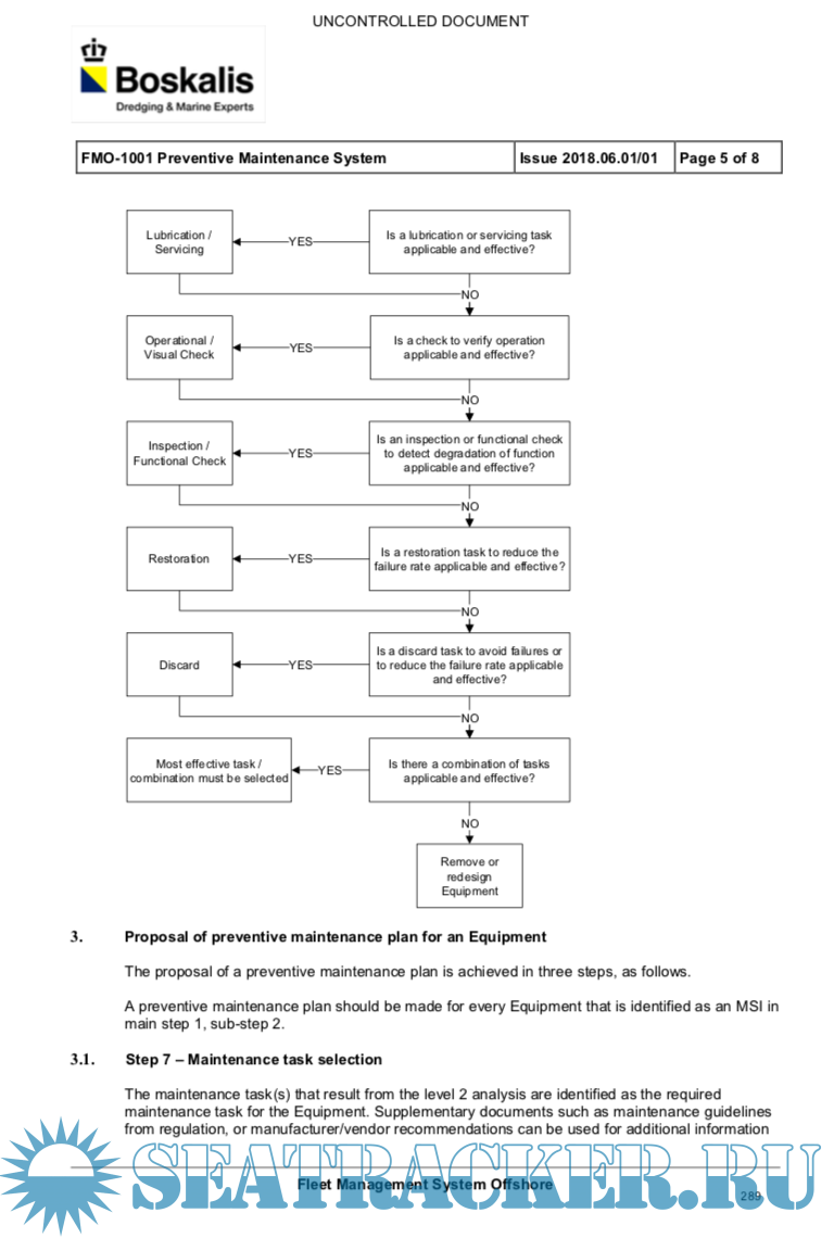
It is divided in two volumes: 1. Main Procedures
2. Additional Supporting Documents
The main procedures volume contains the main documents that compose the FMS, while the additional supporting documents includes mainly forms and other instructions.
Additional info: Multiple information: Checklist, procedures, risk management and more. Included 2016 edition and revision 2018

Contents

Screenshots

Manual compañía BOSKALIS

Download [26 KB]

Thank U
Reply
refresh list

Similar releases

Guidelines for Offshore Marine Operations (GOMO) - OCIMF, IMCA, MSF, and others [2024, PDF]
Guidelines for Offshore Marine Operations (GOMO), 2020 - various authors [2020, PDF]
Managing Maintenance with Requirements of the ISM Code - IACS [2018, PDF]
Guidelines for Hull Monitoring - ClassNK [2025, PDF]
Confined Space Safe Practice - IACS [2018, PDF]
Unified Requirements on Preventing the Loss of Seaborne Containers - IACS [2024, PDF]
Marine Online - ISM [2017, MP4]
Reducing The Risk of Incidents Due to Systematic Failure - The London P and I Club [2020, PDF]
Guidelines for Lifting Operations - IMCA [2007, PDF]
Boat Crew Qualification Handbooks - Vol 2, Coxswain - US Coast Guard [2020, PDF]
LOAD MORE
  • Reply

The time now is: Today 19:12

All times are GMT + 3 Hours