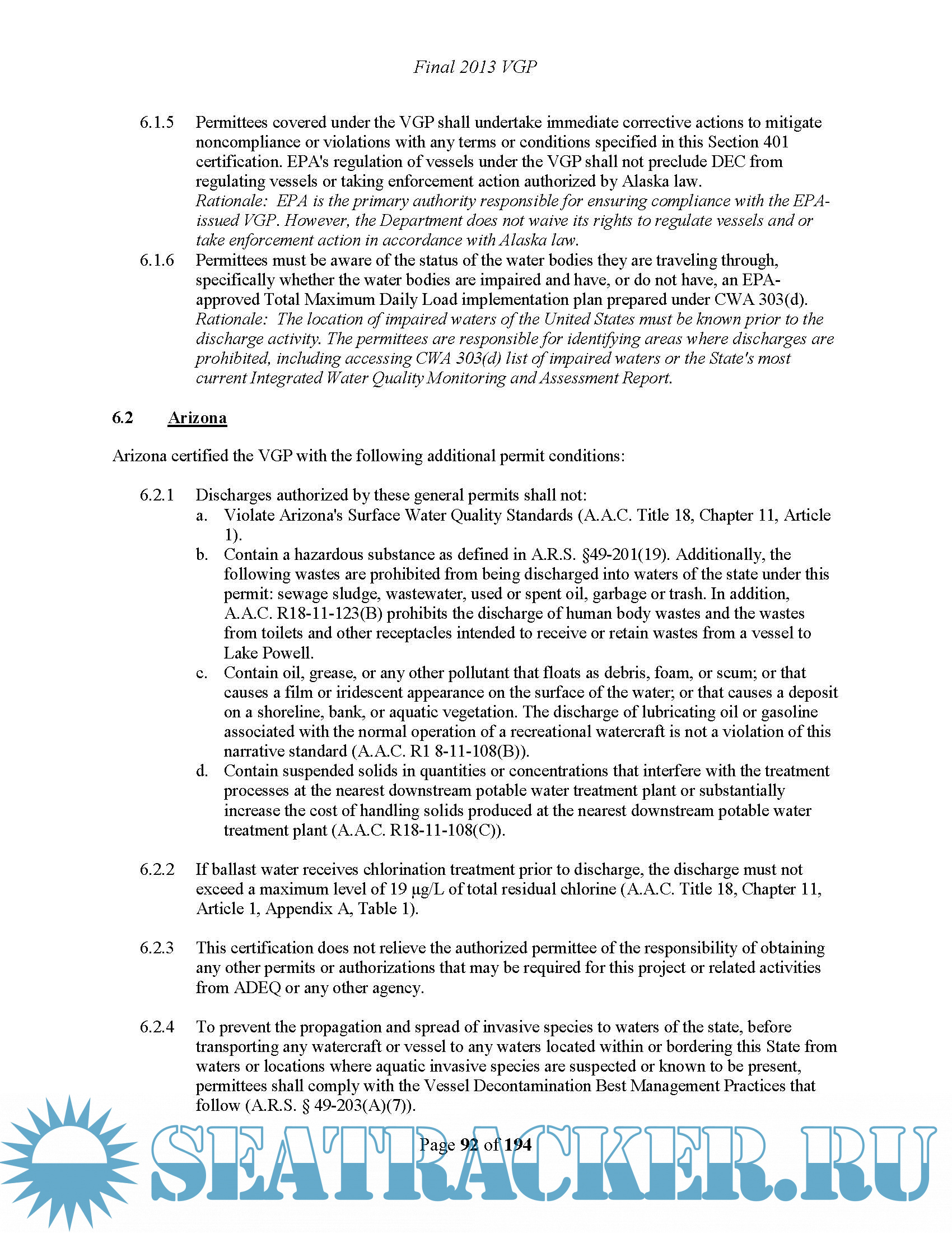
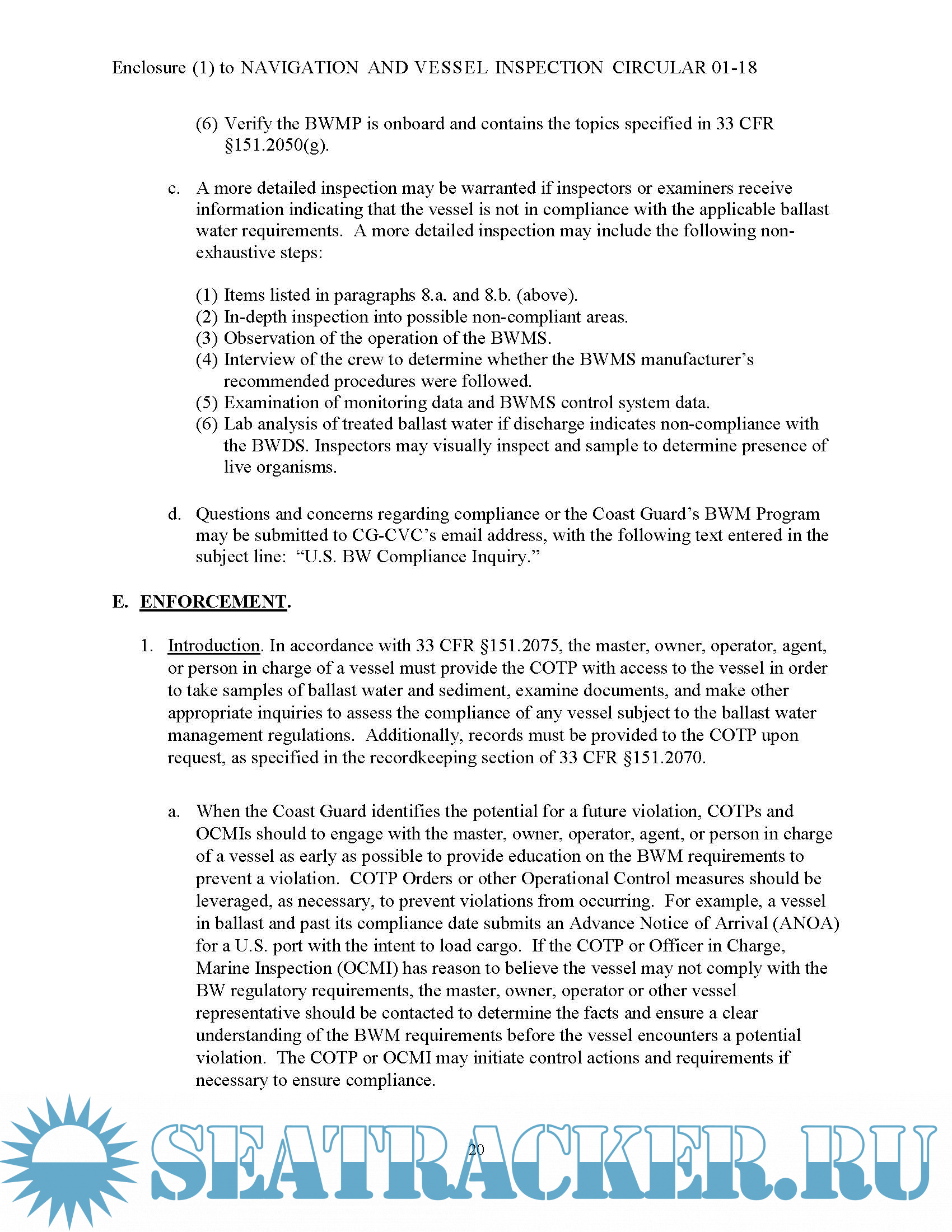
virtual ®   09-Dec-2018 13:14

US Regulatory Update: Requirements for Vessels Visiting US Ports - Ballast Water Management - Vessel General Permit - Water Pollution Control Act


Year: 2018
Language: english
Author: USCG, EPA & ABS
Genre: Convention (rules)
Format: PDF
Quality: eBook
Pages count: 621
Description: This Download contains a US Regulatory Update with Requirements for Vessels Visiting US Ports. Refer to contents for complete list.

Contents

Screenshots

US Regulatory update for Ballast Water Management

Download [20 KB]

Thank U
Reply
refresh list

Similar releases

Code of Federal Regulations CFR 33 Navigation and Navigable Waters Vol 1,2 &3 - US G.P.O. [2018,…
Requirements relating to Fumigation in Australia - Australian Department of agriculture and water…
U.S. Coast Guard Prevention - Safety Alerts 1996 -2014 - USCG [2015, PDF]
Fumigation of cargo on board ships - Various [2018, PDF]
The Swedish P & I Club Rules 2019-20 - The Swedish Club [2019, PDF]
MSA Datasheets & User Manuals - MSA [2019, PDF]
Riken Keiki Stand-alone Gas Detector Manuals - Riken Keiki [2019, PDF]
Riken Keiki Single Gas Monitor Manuals - Riken Keiki [2019, PDF]
Riken Keiki Portable Multi Gas Monitoring Manuals - Riken Keiki [2019, PDF]
Guide for Ballast Water Treatment - ABS [2021, PDF]
LOAD MORE
  • Reply

The time now is: Today 20:38

All times are GMT + 3 Hours