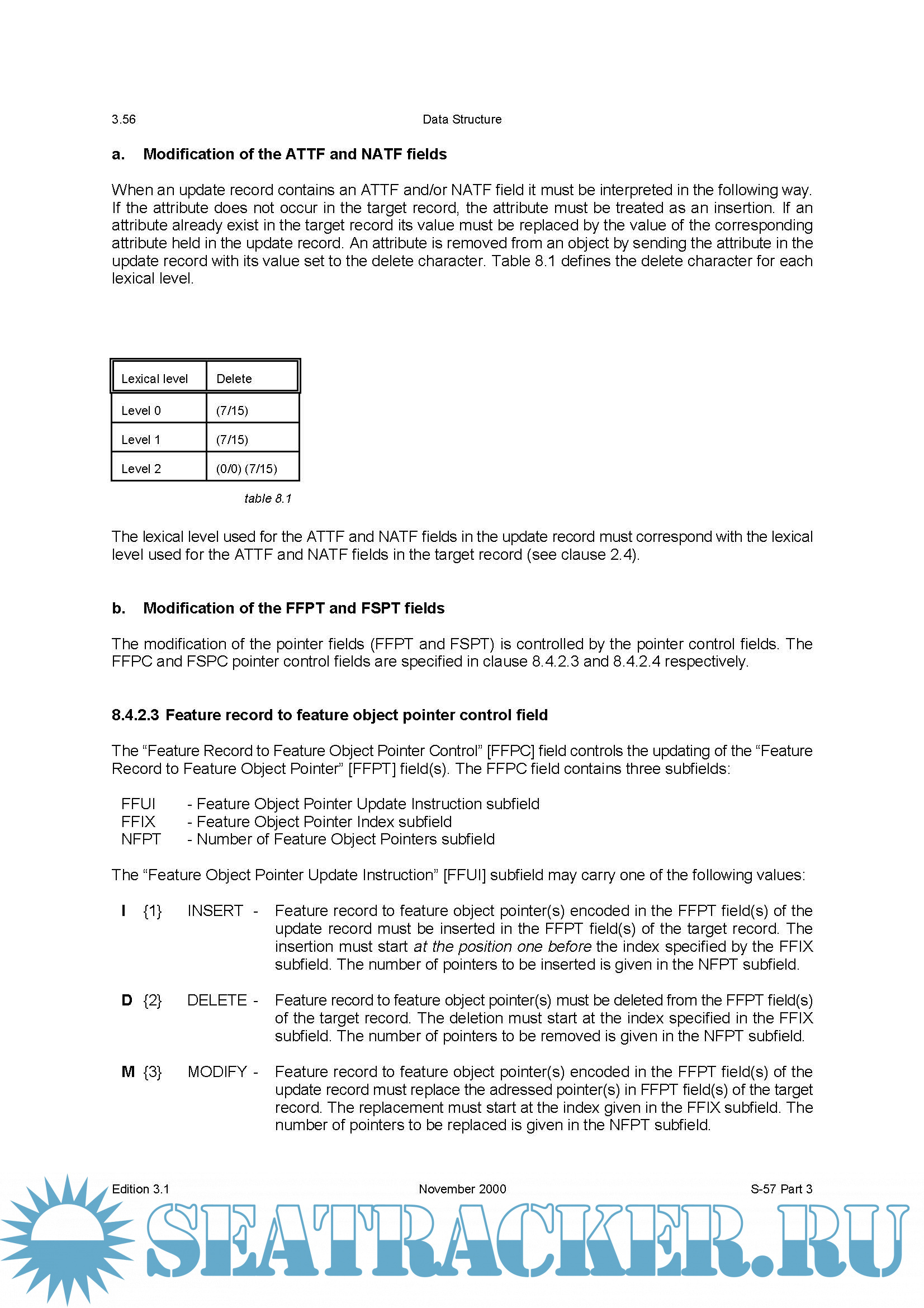
IHO TRANSFER STANDARD for DIGITAL HYDROGRAPHIC DATA Edition 3.1 - Special Publication No. 57
Year: 2000 Language: english Author: IHO Genre: Technical book Format: PDF Quality: eBook Pages count: 114 Description: The publication “S-57—IHO Transfer Standard for Digital Hydrographic Data” describes the standard to be used for the exchange of digital hydrographic data between national hydrographic offices and for its distribution to manufacturers, mariners and other data users. For example, this standard is intended to be used for the supply of data for ECDIS. This transfer and distribution has to take place in such a way that none of the meaning of the data is lost. The Standard was prepared by the International Hydrographic Organization's (IHO) Committee on Hydrographic Requirements for Information Systems (CHRIS). The Standard was adopted as the official IHO standard, by the XIVth International Hydrographic Conference, Monaco, 4-15 May 1992.
You cannot post new topics in this forum You cannot reply to topics in this forum You cannot edit your posts in this forum You cannot delete your posts in this forum You cannot vote in polls in this forum You cannot attach files in this forum You cannot download files in this forum
IHO TRANSFER STANDARD for DIGITAL HYDROGRAPHIC DATA Edition 3.1 - Special Publication No. 57
Language: english
Author: IHO
Genre: Technical book
Format: PDF
Quality: eBook
Pages count: 114
Description: The publication “S-57—IHO Transfer Standard for Digital Hydrographic Data” describes the standard to
be used for the exchange of digital hydrographic data between national hydrographic offices and for its
distribution to manufacturers, mariners and other data users. For example, this standard is intended to
be used for the supply of data for ECDIS. This transfer and distribution has to take place in such a way
that none of the meaning of the data is lost.
The Standard was prepared by the International Hydrographic Organization's (IHO) Committee on
Hydrographic Requirements for Information Systems (CHRIS).
The Standard was adopted as the official IHO standard, by the XIVth International Hydrographic
Conference, Monaco, 4-15 May 1992.
Contents
Screenshots
Publication S-57.pdf
Download [995 B]
Share