paolina_3 ®   16-Nov-2020 13:54

Radiotelephone Handbook Tactics, Techniques, And Procedures


Year: 2018
Language: english
Author: US Coast Guard
Genre: Handbook
Publisher: US Coast Guard
Format: PDF
Quality: eBook
Pages count: 54
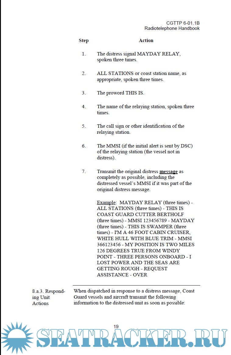
Description: The Radiotelephone Handbook is a user’s guide addressing proper radiotelephone procedures. It is intended for field use. It resumes the International Telecommunication Union (ITU) radio regulations, and specific radio procedures used by Coast Guard into a single source reference. It is intended to provide guidance for Coast Guard personnel. This revision includes clarification regarding the use of the term “MAYDAY” during distress communications, provides an example of a “MAYDAY RELAY” transmission, and also specifies when and how to include maritime mobile service identify (MMSI) information.

Contents

Screenshots

Radiotelephone Handbook Tactics, Techniques, And Procedures .pdf

Download [1 KB]

Thank U
Reply
refresh list

Similar releases

Mobile-satellite service (MSS) Handbook + Supplements 1, 2, 3 and 4 - ITU [2006, PDF]
Supplements to List V – List of Ship Stations and Maritime Mobile Service Identity Assignments…
ITU List V Edition 2019 - ITU [2019, CD-ROM]
List IV - List of Coast stations and Special Service Stations (ITU-R) - INTERNATIONAL…
Supplements to List V – List of Ship Stations and Maritime Mobile Service Identity Assignments…
International Code of Signals US Edition (Pub. 102) - National Geospatial-Intelligence Agency…
JRC VHF JHS-800S Instruct Manual - JRC [2021, PDF]
Handbook on Global Trends in International Mobile Telecommunications - ITU [2015, PDF]
Thrane & Thrane - Sailor MF/HF System 6000A/6000B Radiotelex User manual - Thrane & Thrane A/S…
Maritime Communications and IMO SMCP - Boris Pritchard [2003, DOC]
LOAD MORE
  • Reply

The time now is: Today 21:20

All times are GMT + 3 Hours