ERMO83 ®   26-Sep-2024 16:16

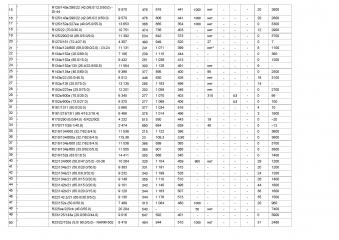
Таблица Хладагентов Physical and Environmental Properties of Refrigerants 284 Items


Год выпуска: 2012
Язык: Русский, Английский
Автор: В.П. Железный, Ю.В. Семенюк
Жанр: Каталог, Справочное издание, Учебное пособие
Издательство: Одесса « Фенiкс »
Издание: Одесса,
Формат: PDF+ EXCEL FILE
Качество: Отсканированные страницы + слой распознанного текста
Количество страниц: 16
Описание: За последние годы было nредложено достаточно большое количество хладагентов . В табл. 1.1 nриведены физические и экологические свойства наиболее широко применяемых в настоящее время хладагентов.
In recent years, quite a large number of refrigerants In table 1.1 shows physical and environmental properties the most widely used refrigerants today.
Доп. информация: таблица из книги "РАБОЧИЕ ТЕЛА ПАРОКОМПРЕССОРНЫХ ХОЛОДИЛЬНЫХ МАШИН ЖЕЛЕЗНЫЙ_СЕМЕНЮК 2012___422" (РАБОЧИЕ ТЕЛА ПАРОКОМПРЕССОРНЫХ ХОЛОДИЛЬНЫХ МАШИН ЖЕЛЕЗНЫЙ_СЕМЕНЮК 2012___422.PDF.torrent)

Содержание

Скриншоты

Таблица Хладагентов Physical and Environmental Properties of Refrigerants 284 Items

Download [3 KB]

Thank U
Reply
refresh list

Similar releases

Рабочие тела парокомпрессорных холодильных машин (свойства, анализ, применения) - В. П. Железный,…
Автоматизация холодильных машин и установок - Ужанский В.С [1982, PDF]
Судовые Холодильные Установки Курсовое И Дипломное Проектирование - И.Д. Колиев, Н.Г. Ермошкин.…
Судовые системы и трубопроводы - Овчинников И.Н., Овчинников Е.И. [1988, PDF]
Конструкция быстроходных судов. Суда на подводных крыльях - Качанов И.В. [2012, PDF]
Подвесные лодочные моторы отечественного производства "Ветерок", "Салют" -…
Судовые холодильные установки и системы кондиционирования - Лалаев Г.Г. [1981, PDF, RUS]
Английский язык: существительные и прилагательные - Евгения Журавская [2023, PDF]
Разговорная грамматика английского языка - Ним Сергей [2019, PDF]
Холодильные машины и установки - Покровский И. К., [1969, PDF]
LOAD MORE
  • Reply

The time now is: Today 21:19

All times are GMT + 3 Hours